[PLA Price Summary] PLA Market Holds Steady on December 5! Most Market Prices Unchanged
Today's PLA Market Commentary:
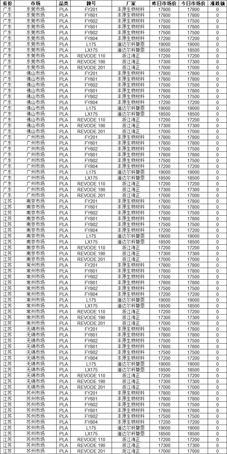
Today's market price range for PLA is 17,000 to 19,000 yuan, with a market median of 17,500 yuan.
The following are today's market quotation details:

【Copyright and Disclaimer】This article is the property of PlastMatch. For business cooperation, media interviews, article reprints, or suggestions, please call the PlastMatch customer service hotline at +86-18030158354 or via email at service@zhuansushijie.com. The information and data provided by PlastMatch are for reference only and do not constitute direct advice for client decision-making. Any decisions made by clients based on such information and data, and all resulting direct or indirect losses and legal consequences, shall be borne by the clients themselves and are unrelated to PlastMatch. Unauthorized reprinting is strictly prohibited.
Most Popular
-
Dow, Wanhua, Huntsman Intensively Raise Prices! Who Controls the Global MDI Prices?
-
Clariant Unveils Cost-Cutting Plan Details, Plans to Shut Down Multiple Plants
-
[Today's Plastics Market] General Materials Weakly Fluctuate, Engineering Materials Steadily Rise
-
New Breakthrough in Domestic Adiponitrile! Observing the Rise of China's Nylon Industry Chain from Tianchen Qixiang's Production
-
Daily Review: Polyethylene Prices Under Weak Consolidation, Sellers Face Significant Pressure to Move Inventory