-
Honda Reports First Annual Loss as China Sales Decline for Fifth Consecutive Year
Honda Motor faces its first annual loss since going public. On March 12, Honda Motor Co., Ltd. announced that it expects an operating loss of 270 billion to 570 billion yen for fiscal year 2025 (April 2025–March 2026) and a net loss of 420 billion to
China Economic Net -
【Overseas Highlights】RMB Hits Record High Against USD! G7 Backs Oil Reserve Release, Covestro Builds PU Recycling Plant
International News Highlights: Raw Material News – BASF Launches Biomass Balance (BMB) Polyether Polyols for Sleep Products, Automotive, and CASE Industries Auto News – Porsche: Expects sales to remain under pressure this year, aiming to streamline o
Plastmatch -
Middle East Conflict Triggers "Plastic Rush": Zhangmutou Clogged With "Plastic Spring Festival Travel", Is This Frenzy Ultimately An Inventory Game?
“We’ve seen people scrambling for rice and flour, but never for plastic!” A complaint on short-video platforms highlights the abnormal chaos in the plastics industry. Affected by the Middle East geopolitical conflict, surging international oil price
Plastmatch -
【Overseas Highlights】Four Middle Eastern Countries Collectively Cut Oil Production! LANXESS Cancels the Sale of Envalior; BASF Launches Low-Carbon BDO Materials
International News Briefing: Raw Materials News – Deal Cancelled! Advent International Withdraws Its Offer to Acquire Lanxess’ Stake in Joint Venture Envalior Auto News - Volkswagen CEO: Volkswagen will launch an affordable electric mobility product
Plastmatch -
US Study Warns: Recycled Plastic "Washing Water" May Pose Health Risks, Experts Call for Stricter Regulation
According to the latest research report released by the Institute of Food and Nutrition Science on March 9th at 8:00 AM (Eastern Time, US),Recycled PlasticDuring production, the "wash water" used to clean raw materials may contain various hazardous c
Plastmatch Global Digest -
260 Million Yuan! Nantong to Build Polylactic Acid (PLA) Bio-Based Automotive and Household Air-Conditioning Filter Project
March 9,Nantong Jiajun Biomedical Materials Co., Ltd.Project Announcement for Bio-based Material Products (Including Automotive and Household Air Conditioning Filters) A total investment of RMB 26 million is planned to procure automatic mixing machin
Degradable and Recyclable Center -
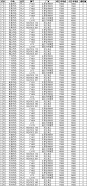
PBAT Price Summary: PBAT Market Mostly Rises on March 9, With General Increase of RMB 200–300
Today's PBAT Market Brief: According to the statistics from Zhuan Su Shi Jie, as of 4:00 PM on March 9th, the PBAT markets in various regions across the country mostly showed an increase! 100% of the market quotes rose, with the highest increase bein
Plastmatch Price -
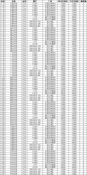
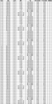
[Pla Price Summary] Pla Market Basically Stabilized on March 9! Most Market Quotes Unchanged
Market Brief for PLA Today: Today’s market quotation range for PLA across the entire market is RMB 16,700–18,800 per ton, with the market median at RMB 17,500 per ton. Here are the details of today's market quotes:
Plastmatch Price -
Tesla Loses Control and Crashes into Parking Lot, Damaging Seven Vehicles Including Li Auto and Audi
On March 9, it was reported that a netizen revealed that today, multiple cars were hit at the parking lot under the Feiyunjiang Road overpass on Qiu Tao Road in Hangzhou, with the offending vehicle being a Tesla. Footage from the scene shows multiple
Kuai Technology -
Clariant Molecular Sieves Collaborates With Vertimass to Advance Commercialization of Innovative CADO Biofuel Technology
Key points summary: -Clariant leverages its expertise in molecular sieves to accelerate the commercialization of Vertimass's technology for converting bio-alcohols into liquid fuels. -The collaboration between both parties aims to achi
Clariant Chemicals Group
Most Popular
-
Supply Extremely Tight! LG Chem Declares Force Majeure on Export Contracts for Di-Octyl Terephthalate (DOTP)
-
Deadly Impact: Hormuz Strait Blockade Sparks Shortage of Plastic Raw Materials, Threatening Shutdowns at Japanese and Korean Chemical Plants
-
Huntsman Introduces “War Surcharge” Amid Shipping Disruption and Soaring Energy Costs, Global MDI Prices Continue to Rise
-
Catl “wins big”: Beyond Batteries, What Else Can It Sell?
-
Tao Lin: Tesla’s Supercharger Stations in China Surpass 2,500