-
New Energy Vehicle Executives Join Emerging Powerhouses
Recently, OpenClaw has caused a frenzy in the AI field. In the embodied intelligence sector, two major investment and financing deals have quietly stirred up waves. The embodied intelligence company, Zijian Power, officially announced to the public.
Automobile Commune -
High-speed Service Area Demands BYD Flash Charging Piles
The official public account of Hunan Expressway recently posted that on March 9, the Service Area Management Company under Hunan Expressway Group held a meeting with the BYD Flash Charging Center's Xiang-E-Gan-Gui (Hunan, Hubei, Jiangxi, Guizhou) Reg
Cheyun.com -
Mondelez International Launches Cadbury Easter Eggs in Packaging Made with 65% Recycled Plastic
Global snack giant Mondelēz International recently announced a new milestone in its journey towards sustainable packaging - aimed at making Easter sweeter and more environmentally friendly. During Easter 2026, Cadbury Mini Eggs in three sizes (31.9g,
Plastmatch Global Digest -
Saint-gobain group releases 2025 full-year results: Sales Up 2.1%, Operating Profit Up 3.8%
Growing by 1.1% in local currency; Continue with business portfolio rotation.CemixFOSROC) "Grow & Impact"2021-2025 Benoit Bazin Grow & Impact’ Lead & Grow’ Lead & Grow’ "Grow & Impact" , 16.9% 2.
PR Newswire -
Renault New Strategy Excludes China, Yet Relies More on China
Within less than a year in office, Renault's CEO Fran ois Provost has already halted several decisions made by his predecessor Luca de Meo. His new strategic plan "futuREady" has therefore drawn significant attention. According to the plan, pure elec
Automobile Commune -
China's Auto Market Sees Slow Growth as Overseas Markets Become Key Growth Driver
At the beginning of the new year, China's automotive market opened with a smooth transition of the "trade-in" policy, yet January's sales data showed unexpected growth pressures. Meanwhile, the export market saw a year-on-year growth of over 40%, bec
Automobile Commune -
【Overseas Highlights】RMB Hits Record High Against USD! G7 Backs Oil Reserve Release, Covestro Builds PU Recycling Plant
International News Highlights: Raw Material News – BASF Launches Biomass Balance (BMB) Polyether Polyols for Sleep Products, Automotive, and CASE Industries Auto News – Porsche: Expects sales to remain under pressure this year, aiming to streamline o
Plastmatch -
Middle East Conflict Triggers "Plastic Rush": Zhangmutou Clogged With "Plastic Spring Festival Travel", Is This Frenzy Ultimately An Inventory Game?
“We’ve seen people scrambling for rice and flour, but never for plastic!” A complaint on short-video platforms highlights the abnormal chaos in the plastics industry. Affected by the Middle East geopolitical conflict, surging international oil price
Plastmatch -
$2.2 billion financing: Can NIO, XPENG, and Li Auto’s Chip Strategy Break Through?
Recently, NIO Group announced that its chip subsidiary, Anhui Shenji Technology Co., Ltd., has signed the agreement for its Series A equity financing round, raising RMB 2.257 billion, with a post-money valuation nearing RMB 10 billion. This financing
Cheyun.com -
Audi A6L Available for Just $42,000 — Cheaper Than A4L, Shaking Up the Luxury Car Market
Starting at 323,000 yuan, this is not the Audi A4L, but its "older brother," the Audi A6L. On March 10, FAW-Audi announced the pre-sale launch of the all-new Audi A6L, with a starting price of RMB 323,000—lower than the official list price of the Aud
12-cylinder car -
PET Recycling Makes It to Nature Journal
With the increasing severity of the global plastic pollution crisis, polyethylene terephthalate (PET) and other polyester plastics, due to their extensive use and resistance to degradation, have become major sources of environmental burden. Nearly h
Frontiers in Polymer Science -
Assisted Driving Features Restricted: The Pain of Policy-Technology Misalignment
Recently, China's Ministry of Industry and Information Technology (MIIT) has introduced a series of enhanced regulatory policies targeting combined driving assistance systems. Some vehicle models already equipped with advanced driver-assistance hardw
Cheyun.com -
Five Minutes vs Three Minutes: When Charging Catches Up with Swapping, Which Should Drivers Choose?
Who would have thought that the first viral topic in the automotive world in 2026 wouldn't be "who sells more," but "who recharges faster." Last week, Wang Chuanfu, chairman of BYD, stood under the spotlight and announced the emergence of the second-
Auto Lab -
Global new energy vehicle sales rankings: Xiaomi YU7 Claims Silver, Geely Surpasses Tesla
Due to adjustments in the domestic new energy vehicle purchase tax exemption policy and the national subsidy policy for automobiles, coupled with the expiration of the U.S. federal electric vehicle tax credit incentive at the end of September last ye
Automobile Commune -
Electric Vehicle Battery Demand Slows As Volkswagen Enters Energy Storage Business
According to foreign media, on March 9, Volkswagen Group launched its first large-scale energy storage facility in Salzgitter, Germany. The project is part of Volkswagen's energy subsidiary Elli, with a storage capacity that can meet the electricity
Gasgoo -
【Overseas Highlights】Four Middle Eastern Countries Collectively Cut Oil Production! LANXESS Cancels the Sale of Envalior; BASF Launches Low-Carbon BDO Materials
International News Briefing: Raw Materials News – Deal Cancelled! Advent International Withdraws Its Offer to Acquire Lanxess’ Stake in Joint Venture Envalior Auto News - Volkswagen CEO: Volkswagen will launch an affordable electric mobility product
Plastmatch -
Vertical Integration Strategy Delivers Remarkable Results as Tinci Materials Reports 181.43% Year-on-Year Surge in Net Profit for 2025
On March 6, Tianshi Materials released its 2025 annual report. According to the financial data, Tianshi Materials achieved a revenue of 16.65 billion yuan in 2025, an increase of 33% year-on-year; the net profit attributable to shareholders of the
New Energy Vehicle Network -
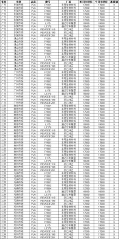
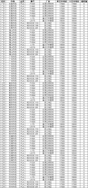
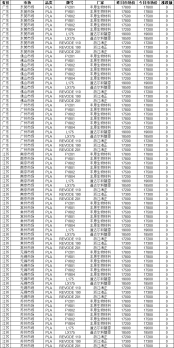
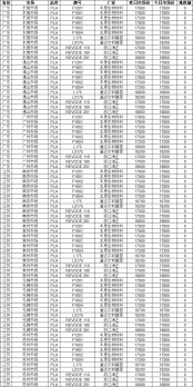
Plastic Surge, Cars Dared Not Rise in Price, Supply Chain Profit Pushed to Limit, Will Car Companies Face Collapse in 2026?
Since March, there has been a significant increase in the plastic raw material market. Affected by the geopolitical conflicts in the Middle East, international oil prices have continued to rise, and as a typical petrochemical product, the production
Plastmatch -
Iran’s Huge Impact on the Global Automotive Industry
On February 28, 2026, U.S. and Israeli forces launched air strikes on Iran, and the following events are well known. To date, the conflict has lasted nearly two weeks with no sign of ceasefire. This conflict appears to be another turmoil in the Middl
Automobile Commune -
HuaWei Qian Kun 896 Line Lidar Solves What Problem
At the Harmony Intelligent Mobility Technology Launch Event on March 4, Huawei's Qiankun unveiled a new perception hardware—the next-generation dual-optical-path imaging-grade LiDAR. What makes this "next-generation" LiDAR truly "new"? And what probl
New Energy Vehicle Network
Most Popular
-
Supply Extremely Tight! LG Chem Declares Force Majeure on Export Contracts for Di-Octyl Terephthalate (DOTP)
-
Deadly Impact: Hormuz Strait Blockade Sparks Shortage of Plastic Raw Materials, Threatening Shutdowns at Japanese and Korean Chemical Plants
-
Huntsman Introduces “War Surcharge” Amid Shipping Disruption and Soaring Energy Costs, Global MDI Prices Continue to Rise
-
Catl “wins big”: Beyond Batteries, What Else Can It Sell?
-
Tao Lin: Tesla’s Supercharger Stations in China Surpass 2,500