-
[EVA Morning Update] EVA Market Mixed On October 24th! Highest Rise Of 100, Largest Drop Of 200 Yuan!
Today's EVA Market Brief: As of 11:00 AM on October 24, according to the statistics of the Specialized Plastics Vision, the EVA market across various regions in the country showed mixed trends! In the entire market, 1% of the quotes increased, and 1%
Plastmatch Price -
Ps market steady with increase on october 24th! highest rise of 50 yuan!
Today's PS Market Brief: As of 11:00 AM on October 24, according to the specialized plastics market statistics, the PS market nationwide is stable with some increases. 36% of market quotations remain stable, with a maximum increase of 50 yuan. Curren
Plastmatch Price -
ABS Morning Price Update: October 24th ABS Market Shows Mixed Trends! Highest Increase of 200, Maximum Decrease of 400 Yuan!
Today's ABS Market Commentary: As of 11:00 AM on October 24, the Zhuansu Shijie statistics show mixed fluctuations in the ABS market across various regions in the country. In the entire market, 3% of the quotes have increased, and 3% have decreased,
Plastmatch Price -
Chemical Giant Suffers Huge Loss of 6.9 Billion! Over 200 Positions at Risk! Today’s Plastic Prices Fluctuate Narrowly, PET Sees Gains
According to the latest news, in the first three quarters of this year, Dow accumulated a loss of $967 million; INEOS's BDO plant faces the risk of closure, with its 200 jobs "under threat"; to make matters worse, the European Carbon Border Adjust
Plastmatch -
Today's PP, PE Guangdong Plastic Prices Rise More Than They Fall! PE Highest Rise 340, PE Highest Fall 450
Summary: New prices in the Guangdong polyolefin market on the morning of October 24th! More increases than decreases! Most PP prices fluctuate between 10-220, with the highest increase of 340 and the highest decrease of 100. Most PE prices fluctuate
Plastmatch Price -
Today PP and PE Prices in Fujian Show Mostly Gains! PP Up by 50-170, PE Up by 200 at Most
Summary: On October 24th, the Fujian polyolefin market's morning prices showed mostly positive trends. PP (polypropylene) mostly increased, with some rising by 50-170. PE (polyethylene) saw more gains than losses, with most increasing by 20-200, and
Plastmatch Price -
South China Recycled Material Market Stays Stable, Guangdong Recycled PP Quoted at 5700-5950
Summary: New prices for the South China recycled plastics market on the morning of October 24th! The South China recycled market is operating steadily and slowly. Recycled PP in Guangdong is quoted at 5700-5950, recycled PE at 3800-6150, and recycled
Plastmatch Price -
North China Recycled Material Market Steady, Henan Recycled PE Prices Reported at 3500-6200
Summary: New prices for the North China recycled plastics market on the morning of October 24th! The North China recycled market is running steadily, with recycled PP in Tianjin priced at 2850-5400; recycled PE in Hebei at 5050-6400; recycled PE in H
Plastmatch Price -
EVA Price Summary: EVA Market Steady With Decrease on October 23rd! Largest Drop of 200 Yuan!
Today's EVA Market Brief: As of 16:00 on October 23, the specialized plastics market statistics show that the EVA market across the country is stable with a slight decline. 96% of the market quotations have remained stable, with a maximum drop of 200
Plastmatch Price -
[PS Price Summary] October 23rd PS Market Steady With A Decrease! Up To 250 Yuan Drop!
Today's PS market commentary: As of 16:00 on October 23, the PS market across the country has been stable with a downward trend according to the Special Plastic Vision statistics. 51% of the market quotations remain stable, with a maximum drop of 250
Plastmatch Price -
[ABS Price Summary] ABS Market Steady to Slightly Down on October 23, with Maximum Drop of 120 Yuan!
Today's ABS Market Commentary: As of 16:00 on October 23, according to the statistics from Zhuansu Shijie, the ABS market across all regions in China is stable with a slight decline. 91% of the market quotations remain steady, with the maximum drop b
Plastmatch Price -
October 23 National LLDPE Mostly Down, LDPE Mixed!
Today's LDPE Market Brief: According to statistics from Zhuan Su Shi Jie, on October 23, the major regions in the country saw more decreases than increases for LLDPE, while LDPE experienced an equal number of increases and decreases. Specifically: LL
Plastmatch Price -
Regional Market Price: Overview of HDPE Price Fluctuations in Major Regions Nationwide on October 23
Today's HDPE Market Commentary: According to Zhuansu Shijie Statistics, on October 23, the HDPE market in major regions across the country saw more increases than decreases. Specifically: the HDPE film market in North China remained stable compared t
Plastmatch Price -
[Regional Market Prices] PP Mostly Up with Some Declines! Overview of PP Price Fluctuations in Major Regions Nationwide on October 23
Today's PP Market Brief: According to the statistics of Specialized Vision, on October 23, the PP market in major regions across the country saw more rises than falls, among which: the PP block copolymer market in East China dropped by 200 yuan; the
Plastmatch Price -
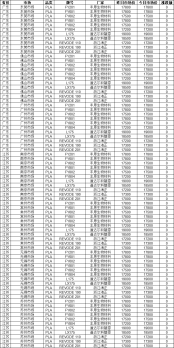
[PLA Morning New Prices] PLA Market Largely Stable on October 23! Most Market Quotations Unchanged
Today's PLA Market Commentary: The current market price range for PLA is 17,000 to 19,000 yuan, with a market median of 17,500 yuan. The following are today's market quotation details:
Plastmatch Price -
PA Morning Update: Market Steady With a Rise of Up to 150 Yuan on October 23rd!
Today's PA market commentary: According to Zhuangsu Shijie statistics, as of 11:00 am on October 23, the PA market across the country has been stable with some increases! 90% of the market quotations remain stable, with a maximum increase of 150 yuan
Plastmatch Price -
PC Market Steady With Price Increases on October 23, Maximum Rise of 20 Yuan!
Today's PC market commentary: According to statistics from Zhuangsu Shijie as of 11:00 AM on October 23, the PC market across the country is stable with a slight increase! 50% of the market prices remain stable, with the highest increase being 20 yua
Plastmatch Price -
Special engineering plastics leader net profit soars 1645.49%! today’s plastics market mostly dips, pc rises against trend by 500
1. Leading Special Engineering Plastics Company Soars by 1645.49%! On the evening of October 22, Kaisheng New Materials announced its latest performance. The revenue for the third quarter reached 242 million yuan, a year-on-year increase of 19.96%; t
Plastmatch -
Recycled Material Market Price: East China Recycled Market Remains Stable, Fujian Recycled PE at 5000-6050
Summary: New prices for the recycled plastics market in East China on the morning of October 23! The East China recycled market remains stable, with recycled PE in Shanghai quoted at 3650-6150; recycled PP in Jiangsu quoted at 4450-6050, and recycled
Plastmatch Price -
PP and PE Prices in Jiangsu Today: PP Steady with a Maximum Increase of 110; PE Mixed with a Maximum Decrease of 200
Summary: On October 23, the Jiangsu polyolefin market opened with new prices! PP showed a steady upward trend, with most prices in Changzhou rising by 10-110. The markets in Xuzhou, Wuxi, and Nanjing remained stable. PE prices varied, with some risin
Plastmatch Price
Most Popular
-
India's Q3 Smartphone Shipments Rise 3%; Japanese Mold Factory Closures Surge; Mercedes-Benz Cuts 4,000 Jobs
-
Ascend's Restructuring Plan Approved! Jwell Launches Global Acceleration Plan; Nexperia Chip Crisis Threatens Global Auto Production
-
Dow To Restart Pe Units 5 And 7 This Week, Recovery Date For Unit 6 Remains Undetermined In The United States (US)
-
Key Players: The 10 Most Critical Publicly Listed Companies in Solid-State Battery Raw Materials
-
The Roller-Coaster Behind Sanhua Intelligent Controls' Stock Price: What Are the Advantages of Automotive Thermal Management Companies Crossing Into Humanoid Robots?